
ME ME KHANT
I’m a data scientist with a background in public policy. I’m passionate about translating real-world problems into experimental questions that can be answered with statistics and analytics to drive decisions that create meaningful impact.
Portfolio
Adverse Effects Associated with Andexxa
Evaluating the adverse effects of anticoagulant reversal agent Andexxa, compared with other similar products using Medicare databases.
Off-Label Use of Gabapentin in Pediatrics Population
Understanding patterns of off-label gabapentin prescribing in children using Medicaid claims data.
Data Package to Investigate Skysonna Use and its Indication
Developing a data package for investigating prevalence of the gene therapy Skysonna, to be used across Medicare, CVS, Carelon, and Optum databases.
Past Projects

Severe Hypocalcemia With Denosumab Among Older Female Dialysis-Dependent Patients

Digital Battlegrounds: Politically-motivated Abuse of Myanmar Women Online

Risk factors for Severe Outcomes among Patients Hospitalized with COVID-19

Target Trial Emulation: The Effect of Denosumab on Risk for Emergently Treated Hypocalcemia by Stage of Chronic Kidney Disease

Sentiment Analysis of Pride and Prejudice
Adverse Effects Associated with Andexxa Vs. Alternative Anticoagulant Reversal Agents
Purpose: Andexxa is a recently approved anticoagulant reversal agent. The goal of this study is to evaluate and compare the adverse effects of Andexxa with five other first-tiered comparator products using Medicare databases. Each of the products are evaluated for six different bleeding conditions and a dozen thromboembolic outcomes, along with the history of comorbidity conditions.Task: I worked on this project as a lead researcher and built the full end-to-end pipeline, taking ownership of data querying, data wrangling, and statistical analysis. I used Acumen's internal data infrastructure, SAS, and R. The study is ongoing and is currently in inferential analysis stage.
Off-Label Use of Gabapentin in Pediatrics Population Using Medicaid Data
Purpose: Gabapentin is a drug approved for epilepsy and is commonly used off-label in clinical settings. The goal of the study is to understand patterns of off-label gabapentin prescribing in children using Medicaid claims data.Task: I collaborate with the lead researcher for this study, primarily working on prescription-fill patterns and diagnosis frequency analyses.The study is currently ongoing in its Phase-1 stage.
Data Package to Investigate Skysonna Use and its Indication in Medicare, CVS, Optum, and Carelon databases
Purpose: Skysonna is a gene therapy approved for neurologic dysfunction in boys 4-17 years of age with early, active cerebral adrenoleukodystrophy (CALD). The goal of this study is to investigate potential adverse effects of Skysonna in its post-market phase. This is a collaborative study between FDA, CVS, Carelon, Optum, with our team at Acumen serving as data coordinator.Task: I developed a data package that can be used across four databases that dynamically query data and produce the statistics related to prevalence of CALD cases and respective use of Skysonna. The exclusion criteria such as enrollment and age are applied on the population. Using ICD-10-CM classification of diseases and drug coding such as HCPCS, NDC, and ICD-10 PCS codes, the respective indications, disease diagnoses, and drug use are flagged.Results: The study found that Skysonna use is not as prevalent to have enough power for an inferential analysis. The study is ongoing as a continued public health surveillance .
Digital Battlegrounds: Politically-motivated Abuse of Myanmar Women Online
Purpose: A mixed-methods study on politically-motivated online abuse targeting women in and from Myanmar. This research was prompted by growing political repression, lack of accountability from social media platforms, and ongoing concerns raised by women’s rights groups. The findings of the study were featured in CNN and BBC.The research looked at: i) the scale and nature of the abuse; ii) the perpetrators of abuse; iii) the online and offline impact of the abuse on women’s lives; and, iv) social media platform accountability.Key methods and data:- Quantitative analysis of 1.6 million Telegram posts across 100 Myanmar-language channels.
- Qualitative review of 220 posts mainly from Facebook and Telegram.
- Five case studies on the link between online and offline abuse, including cases involving female politicians.
- Five in-depth interviews with abuse survivors.Task: I was the lead researcher on this project. I worked on manual data collection, validation, and analysis of the 220 social media posts, as well as experimenting with Webscraping techniques to collect data for quantitative analysis.Results: The study found an overwhelming and increasing volume of politically-motivated targeted abuse towards women. Over 95% of the posts flagged by the study were taken down by the platforms after our findings were released.Click to read the full paper.
Risk factors for Severe Outcomes among Patients Hospitalized with COVID-19
Project Goal: To evaluate whether the use of systemic corticosteroids prior to hospitalization with COVID-19 is associated with higher likelihood of invasive mechanical ventilation (IMV) or endotracheal intubation (ET), intensive care (IC) admission, and in-hospital death or death within 7 days of discharge.Methods Used: Adjusted odds ratios (OR) and 95% confidence intervals (CI) generated from multivariable adjusted logistic regression; Nonlinear relationships are adjusted using splines.Tasks: I was responsible for full end-to-end pipeline of this study, taking ownership from experimental design and data querying to statistical modeling and presenting results to the non-technical audience at the FDA leadership.Results: The use of systemic corticosteroids was found to be associated with the outcomes studied.The study was presented at the International Society for Pharmacoepidemiology (ISPE) conference.
Sentiment Analysis of Pride and Prejudice
Purpose: This project was done for self-learning purposes. I wanted to familiarize myself with different types of sentiment analysis and cleaning and extracting tokens from a corpus of words to be able to create a word cloud.Methods: This project was done in R. I extracted word tokens, used afinn lexicon to assign sentiment scores to words, and checked the common positive and negative words in the novel. I then used "wordcloud" and "RColorBrewer" packages to create the word could picture.Click here to see the code on GitHub.
Target Trial Emulation: The Effect of Denosumab on Risk for Emergently Treated Hypocalcemia by Stage of Chronic Kidney Disease
Project Goal: To assess the risk for emergently treated hypocalcemia with denosumab by stage of CKD and presence of CKD–mineral and bone disorder (CKD-MBD).Methods Used: Target trial emulation, an observational study method designed to mimic a randomized control trial (RCT) is used for this study. The study used a large Medicare database from 2012-2020.Tasks: I was mainly responsible for data cleaning and manipulation for this project. I developed an algorithm to collapse treatment episodes from multiple prescription claims and conducted several ad-hoc analyses to investigate risk by CKD-stage. I also produced publication-ready graphics.Results: The study found that the risk for emergently treated hypocalcemia with denosumab versus oral bisphosphonates increased with worsening CKD stage (P < 0.001), with greatest risk found among dialysis-dependent (DD) patients.Click to read the full paper.
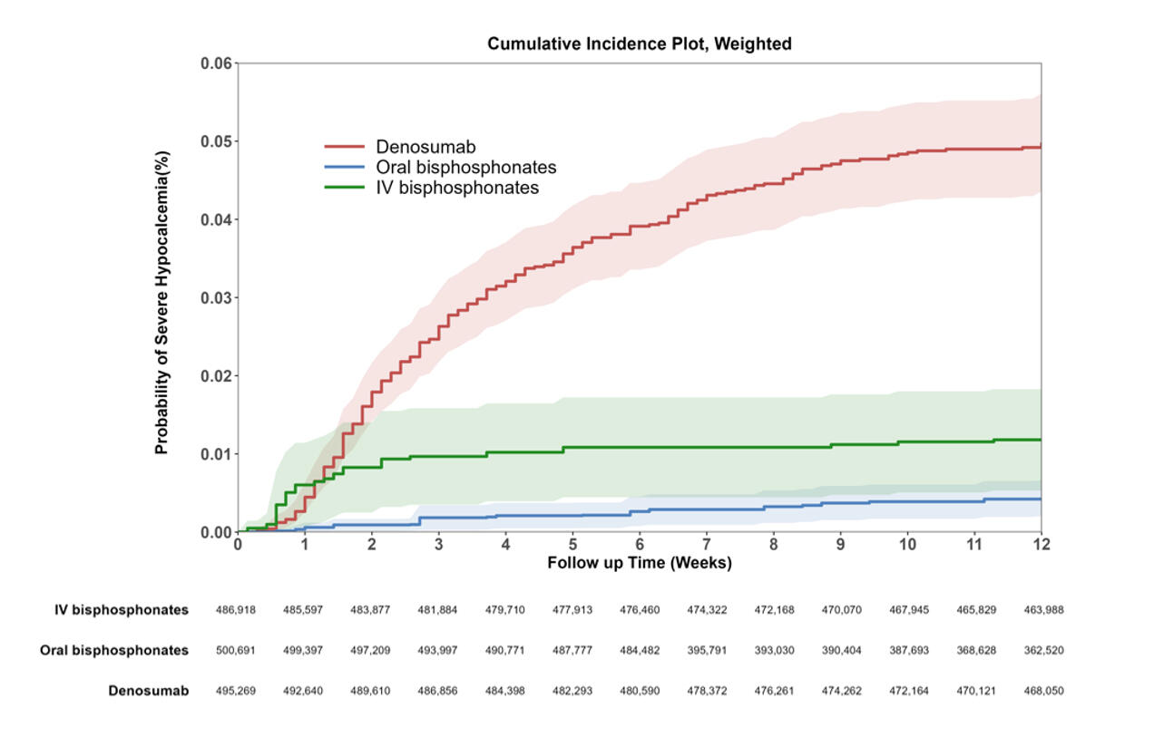
Severe Hypocalcemia With Denosumab Among Older Female Dialysis-Dependent Patients
Project Goal: The purpose of the study is to evaluate whether denosumab, compared to oral bisphosphonates, is associated with a higher risk of severe hypocalcemia among female dialysis-dependent Medicare patients treated for osteoporosis.Methods Used: Retrospective cohort study, intention to treat (ITT), propensity score weighting with IPTW, Cox proportional hazards model, and risk differences and ratios calculated using bootstrap sampling.Tasks: I worked on this study for two years, primarily investigating the serum calcium levels and calcium testing data of patients and answering questions related to the outcomes such as time to outcome. I also conducted the subgroup and sensitivity analyses and generated publication-ready figures using R.Results: The results below show that Denosumab is associated with a much higher incidence of severe and very severe hypocalcemia compared with oral bisphosphonates (41.1% vs. 10.9%). It has higher risk ratios (20.7 for severe hypocalcemia and 26.4 for very severe hypocalcemia). These results led to a blackbox warning from the FDA, the agency's highest warning.Click to read the full paper.
About Me
👋 Hey there, I'm Me Me! (pronounced Mimi)My work focuses on experimental design, cohort studies, and advanced causal inference. I apply linear and nonlinear models, survival analysis, and other statistical techniques to generate insights from complex real-world data. Currently, I work in policy consulting, supporting the FDA in drug and biologics safety regulation.I was born and raised in Yangon, Myanmar, during a time when the country was still isolated from the rest of the world. After high school, I moved to Kentucky to pursue a degree in International Studies, which took me around the world from Guatemala and South Africa to Europe and China. I then completed my Master’s in International Policy at Stanford University as a Knight-Hennessy Scholar.I’m now based in San Francisco, where I enjoy hosting friends with home-cooked meals, spending time outdoors, swimming during the summer, and figure skating year-round at the Yerba Buena rink.

publications
Writing has been my primary medium for storytelling and creative expression. I experiment with writing in different forms from poetry to op-eds, often focusing on issues at the intersection of technology, democracy, and human rights — topics that deeply interest me.Click below to see some of my published work.

Asia Foundation: Covid-19 and Complex Conflicts

Is US Senate Leader genuine about his support for Burma?

The U.S. Risks being Complicit in Myanmar Junta's Atrocities

In Burma, the Revolution will not Win Without Women

In Myanmar, We Pay With Our Lives for Choices of World Leaders

Renewed Hope for Federal Democracy in Post-Coup Myanmar
Contact
I'm always deeply curious about the world and exploring new opportunities. Let's connect!
















